지수함수와 로그함수로부터 파생되는 지수 방정식, 로그방정식, 지수 부등식, 로그 부등식을 풀기 위해서는 십중팔구 밑을 같게 만들어줘야합니다. 서로 다른 지수나 로그의 밑을 같게 만들어주는 작업을 밑변환이라고 하는데요. 우리가 밑변환을 하는 이유는 서로 다른 차원(dimension)에 있는 항들을 같은 선상에서 비교하기 위해서입니다.
예를들어 우리나라 돈 1000원과 일본 돈 100앤의 가치를 비교하기 위해선 환율을 적용하여 기축통화인 미국 달러로 바꿔서 비교해야 합니다. 또한 평균이 60점, 표준편차 10점인 정규분포를 따르는 집단에서 75점을 받은 학생과 평균이 40점, 표준편차 20점인 정규분포를 따르는 집단에서 70점을 받은 학생중 누가 더 우수한 학생인가를 비교하기 위해선 표준화(Z=(X-m)/σ)라는 작업을 거쳐 표준정규분포라는 동일한 분포속에서 비교해야합니다. 이처럼 밑변환공식도 서로 다른 두 지수나 로그를 비교하기 위해 필요한 것이란 걸 알아두세요. 이유를 알아야 쓰임을 알 수 있고, 쓰임을 알아야 문제에 적용할 수 있습니다.
각설. 지수의 밑변환 공식과 로그의 밑변환공식은 각각 다음과 같습니다.

위 식에서 지수의 밑변환은 밑이 b인 지수를 밑이 a인 지수로 바꾸는 것을 의미하고, 로그의 밑변환식은 밑이 a로 되어있는 로그를 밑이 c인 로그로 변환시키는 것을 의미합니다. 그런데 많은 학생들이 로그의 밑변환은 많이 들어봤어도 지수의 밑변환은 그러지 못했을 것으로 생각됩니다. 교과서에서 다루지 않기 때문이죠. 하지만 로그의 밑변환 못지않게 지수의 밑변환도 상당히 자주 쓰이므로 알아두는 게 좋습니다. 먼저 두 식의 간단한 공식 유도를 한 후 그 쓰임에 대해 기술하겠습니다.
i) 지수의 밑변환
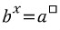
우리는 밑이 b로 주어진 지수를 밑이 a인 지수로 바꾸고자 합니다. 이 문장을 간단한 수식으로 표현해봅시다.

여기서 네모(□)로 표현한 것이 새로운 지수에 들어갈 "지수"입니다. 이를 구하기 위해선 양변에 log(a)를 취해주면 됩니다. (또는 로그의 정의를 써서 네모를 구하면 됩니다.)

따라서 최종적으로 아래와 같이 지수의 밑변환을 정리할 수 있습니다.

//유도 완료
한편 위 식의 두번째 등호를 잘 보면, 다음 로그 공식으로도 식을 바라볼 수 있습니다.

위와 같이 지수에 로그가 있는 경우, 밑과 진수를 서로 바꿀 수 있는데요. 소개한 지수의 밑변환공식도 그렇게 이해하시면 더 기억하기 쉽습니다.
ii) 로그의 밑변환
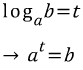
로그의 밑변환 공식 유도는 로그의 정의를 이용해서 구할 수 있습니다. 먼저, 변환하고자하는 로그를 정의를 써서 지수 형태로 바꿔보면,

위와 같이 되는데, t를 구하기 위해 양 변에 밑이 (a가 아니라) c인 로그를 취해주면 됩니다.

따라서 본래 t로 설정했던 밑이 a인 로그를 밑이 c인 위 식으로도 구할 수 있었습니다.

//유도 완료
여기서는 지수의 밑변환 공식에 관한 문제만 소개하겠습니다. 로그의 밑변환 문제는 시중의 다른 문제에도 많으니 찾아서 풀어보세요.
<문제 1>
먼저 다음 명제부터 증명해봅시다.

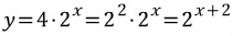
위 명제는 참입니다. 간단한 예를 먼저 살펴보면, k=4, a=2라고 하면

가 되는데, 위 그래프는 y=2^x의 그래프를 x축으로 -2만큼 평해이동하여 겹칠 수 있는 그래프가 됩니다. 하지만 k=3, a=2라면 어떨까요? 이 경우도 마찬가지로 증명할 수 있습니다.

이 경우 역시 x축으로 -log_2 3만큼 평행이동하여 그래프를 완전히 겹칠 수 있습니다. 여기선 계수 3을 밑변환을 통해 밑이 2인 지수로 바꿔줄 수 있었음에 주목하세요. 바로 전에 들었던 예도 실은 계수 4를 똑같이 밑이 2인 지수로 바꿔줘서 얻은 결과입니다. 학생들이 4는 쉽게 2의 제곱으로 표현할 수 있다고 생각하는데, 이를 밑변환의 관점에서는 보지 않죠. 이제부터는 모든 지수의 밑을 변환하는 과정을 "지수의 밑변환"과정이라 생각하고 문제를 접하시기 바랍니다.
각설. 그럼 일반적인 증명을 알아보면,

즉 위 함수는 일반적인 지수함수 y=a^x에서 x축으로 -log_a k만큼 평행이동하면 완전히 겹칠 수 있는 함수가 됩니다. (주어진 a와 k의 범위에서 log_a k가 정의될 수 있습니다.)

<문제 2>
이제 다음 문제를 풀어봅시다.

이 문제는 지수함수의 정점(定點)에 관한 문제입니다. 정점(定點)이란 말 그대로 정해진 점으로서 특정 함수가 항상 지나게 되는 기준점의 역할을 합니다. 다음 지수함수

의 정점은 (0, 1)입니다. x에 0을 대입하면 a의 값에 관계없이 항상 1이라는 함수값이 나오기 때문이죠.

이를 다른 말로 표현하면 다음과 같습니다.
「모든 수의 0승은 1이다.」
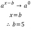
따라서, 주어진 함수에서 지수 부분에 해당하는 a^{x-b} 값이 1이 되는 그 때의 x값, 즉 x=b일 때가 바로 정점의 x좌표가 됩니다. 정점의 x좌표는 5로 주어져 있으므로 따라서 b는 5라는 걸 알 수 있습니다.

한편 정점에서는 지수 부분에 해당하는 값이 a의 값에 관계없이 항상 0승이므로 통째로 1이 되기 때문에 그 때의 y좌표는 아래와 같이 구할 수 있습니다.

따라서 그 때의 y좌표, 즉 c의 값은 10이 됩니다.


//완료
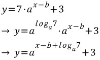
첨언하면, 여기선 밑변환 공식으로 문제를 풀면 안 됩니다.

이렇게 바꿔서 정점을 x=b-log_a 7 일 때 발생한다고 생각하면 안 된다는 것입니다. 물론 주어진 식을 밑변환을 통해 위처럼 x축으로 평행이동한 꼴로 바꿀 수는 있습니다. 그러나 그렇게 하면 지수부분에 log_a 7이 들어가게 되므로 "a의 값에 관계없이"라는 조건을 더 이상 사용할 수 없게 됩니다. 우리가 a의 값에 관계 없이 항상 성립하는 식을 만들고 싶은데 정점의 x좌표를 x=b-log_a 7 라 한다면 이미 a에 따라 점이 바뀌는 모순이 생겨버리기 때문입니다. 따라서 이 경우엔 처음 소개한대로 문제를 풀어야 합니다.
본 포스팅에서는 지수와 로그의 밑변환의 개념과 증명, 그리고 그 적용에 관해 알아봤습니다. 특히 지수의 밑변환은 교과과정에선 소개되지 않지만 실제 문제 해결에 있어서 중요한 고리 역할을 하므로 컨셉과 그 쓰임을 잘 기억해놓는 게 중요합니다.
공부는 텍스트를 읽고 쓸 때 "공부"하는 게 아니라, 특정 개념에 대해 생각하고 사고하고 고민하고 천착하는 바로 그 시간동안에만 "공부했다"라고 할 수 있다고 합니다. 기계적으로 뭔가를 읽고 받아들이는 건 공부가 아니라는 것이죠. 개념에 대해 질문하고 점검함으로써 몰랐던 부분을 다시 한 번 확인하는 게 필요한 것 같습니다.
제 글이 많은 학생들에게 도움이 됐으면 합니다.
| 미분가능의 정의/개념/의미/적용 (0) | 2021.02.28 |
|---|---|
| 적분이 넓이가 되는 이유(정적분, 부정적분, 원시함수와 그래프 넓이의 관계) (3) | 2021.02.28 |
| 거듭제곱근 개념 정리(a의 n제곱근, n제곱근 a) (1) | 2021.02.28 |
| 기수법 개요 (n진법의 이해) (0) | 2021.02.28 |
| (수열) 기본 점화식 5번 유형 - 알파값의 유도 (a=q/(p-1)) (0) | 2021.02.28 |