이 포스팅은 정사면체의 높이 및 부피를 구하는 방법에 관한 글 입니다.
정사면체는 가장 기본적인 공간도형으로 문제에 자주 출제되는 메뉴입니다.
공식의 유도과정속에서 공간도형의 어떤 특징들이 활용되는 지를 학생들이 배우면 좋을 것 같아 이렇게 글을 씁니다.
이 글이 필요한 학생은
1. 정사면체의 높이 구하는 과정이 궁금한 학생.
2. 정사면체의 부피 공식 유도가 궁금한 학생.
3. 공간도형에 대한 감이 부족한 학생
입니다.
제 글이 많은 학생들에게 도움이 됐으면 하는 바람입니다.
그럼 포스팅 시작합니다.

정사면체는 모든 면이 정삼각형인 사면체(혹은 삼각뿔) 입니다.
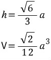
위와같은 정사면체의 한 변의 길이를 a라고 할 때, 높이 h와 부피 V는 다음과 같이 주어집니다.

1) 정사면체의 높이

위와 같이 꼭지점이 O, 한 변의 길이가 a인 정사면체를 생각해봅시다.
우리는 이제 꼭지점 O로부터 밑면 ABC에 내린 수선의 길이, 즉 정사면체의 높이를 구할것입니다.
- H가 삼각형 ABC의 무게중심임을 증명하기.
높이를 구하려면 점 O로부터 밑면 ABC에 내린 수선의 발인 H가
정삼각형 ABC의 무게중심임을 먼저 증명해야합니다. (이 증명은 중학교때 나옵니다.)
아래 그림을 봅시다.

점 H로부터 삼각형의 세 꼭지점 A, B, C에 각각 선분을 그어봅시다.
그러면 위 그림처럼 정사면체 내부에 삼각형 OAH, OBH, OCH 가 생기는데요.
이들은 서로 합동입니다. (RHS합동)

-RHS 합동 증명
왜 그런지 알아봅시다. RHS합동은 직각삼각형에서(Right angle), 빗변의 길이가 같고(Hypotenuse), 나머지 한 변의 길이가 같을 때(Side) 두 삼각형은 합동이라는 것입니다.
위 그림에서 각각의 삼각형 OAH, OBH, OCH는 직각삼각형입니다. 왜냐하면 꼭짓점 O로부터 밑면 ABC에 내린 수선은 밑면위의 임의의 직선과 모두 수직하기 때문입니다.
(공간도형에서 한 평면과 수직을 이루는 수선은 그 평면위의 모든 직선과 수직을 이룬다는 성질이 있죠.)

한편 각각의 직각삼각형의 빗변 OA, OB, OC는 정사면체의 한 변의 길이 a로 모두 같습니다.

또한 세 삼각형은 높이 OH를 서로 공유하고 있습니다. 즉 빗변을 제외한 나머지 한 변의 길이가 OH로 같습니다.
이를 종합하면 삼각형 OAH, OBH, OCH는 RHS합동이라는 걸 알 수 있습니다.
세 삼각형이 합동이기 때문에 선분 AH, BH, CH의 길이는 같습니다.

-H는 정삼각형의 외심이자 무게중심
위 식 즉, 한 점 H로부터 서로 다른 세 점 A, B, C까지의 거리가 같다는 것의 의미는 무엇일까요.
바로 H가 점 A, B, C를 포함하는 어떤 원의 중심이라는 말입니다.
(원의 정의는 한 정점으로부터 모두 같은 거리에 있는 점들의 집합입니다. 원이 되기 위해서는 중심으로부터 최소 서로 다른 세 점까지의 거리가 같아야 한다는 조건이 있습니다.)
점 A, B, C를 포함하는 원은 정삼각형 ABC의 외접원입니다.
점 H는 그 외접원의 중심, 즉 외심이 됩니다.

한편, 정삼각형의 외심, 내심, 무게중심, 수심은 모두 동일한 점이라는 중요한 성질이 있습니다.
(이 때 삼각형의 오심 중 방심은 제외됩니다. 방심은 그 정의상(한 내각의 이등분선과 나머지 두 외각의 이등분선의 교점) 삼각형의 외부에 있을 수밖에 없습니다.)
따라서 위 그림에 나타난 정삼각형 ABC의 외심 H는 외심인 동시에 무게중심도 됩니다.
-무게중심의 성질; 중선을 2:1로 내분
삼각형의 무게중심은 중선을 2:1로 내분한다는 성질이 있습니다.
(무게중심에 대해 궁금한 학생은 다음 링크를 참고하세요. https://color-change.tistory.com/7)
즉 H는 정삼각형 ABC의 높이를 2:1로 내분하는 내분점입니다.(정삼각형의 중선은 높이로도 볼 수 있습니다.)
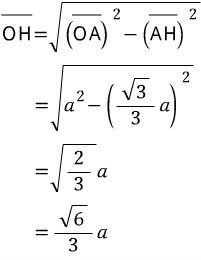
정삼각형 ABC한 변의 길이가 (정사면체 한 변의 길이인) a로 주어졌으므로 높이는 √3a/2 입니다. (정삼각형의 높이 공식)
따라서 AH의 길이는 높이의 2/3인 √3a/3 입니다.


피타고라스의 정리에 의해 높이 OH의 길이를 구할 수 있습니다.

이로써 정사면체의 한 변의 높이는 √6a/3으로 주어짐을 유도됩니다.

유도완료//
2) 정사면체의 부피
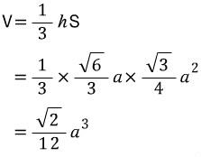
높이를 구했으므로 이로부터 부피를 구해봅시다.
밑면 ABC의 넓이는 정삼각형의 넓이 공식인 S = √3a²/4 를 따릅니다.


정사면체는 삼각뿔로 볼 수 있으므로, 삼각뿔의 부피 공식인 "1/3 x 밑넓이 x 높이"를 이용하면 부피를 구할 수 있습니다.

부피 유도 완료//
이번 포스팅에서는
1. 정사면체의 높이
2. 정사면체의 부피
공식을 유도해보았습니다.
그 과정에서 한 평면과 수직인 직선의 관계, RHS 합동, 정삼각형의 외심, 무게중심 및 무게중심의 성질, 정삼각형의 높이 및 넓이 공식 등 수많은 개념과 기하관계를 적용했습니다.
정사면체는 공간도형중에서 가장 기본이 되는 도형입니다.
높이와 부피를 구하는 과정에서 정사면체의 어떤 요소를 어떤 방식으로 접근했는 지,
각 개념들간에 어떤 긴밀한 관계가 형성되는 지를 파악할 수 있었습니다.
공식 자체를 외기 보다는, 문제를 바라보고 해결하는 방법을 배우시기 바랍니다.
제 글이 많은 학생에게 도움이 됐으면 합니다.
감사합니다.
| 타원의 넓이 구하기(치환적분) (4) | 2021.06.19 |
|---|---|
| 정사영의 정의/공식/고난이도 문제 (0) | 2021.06.19 |
| 지수함수의 미분, 자연로그의 미분 증명 (0) | 2021.06.19 |
| 음함수의 미분 - 개념과 적용 (2) | 2021.04.02 |
| 삼각함수의 미분과 적분 (0) | 2021.04.02 |