이 포스팅은 이항분포의 평균과 분산 공식의 유도에 관한 글 입니다.
이항분포는 이산확률분포의 대표적인 예로, 그 의미와 적용 범위가 상당히 큰 테마입니다. 여기서는 이항분포를 따르는 확률변수 X의 의미가 무엇인 지, 그 확률변수 X의 평균과 분산이 무엇을 뜻하며, 이들의 공식이 어떻게해서 나왔는지를 살펴볼 것입니다. 이에 대한 내용을 제대로 다룬 교재나 자료가 부족하기에 제가 대신 정리하여 학생들에게 도움이 되고자 합니다.
이 글이 필요한 학생은
1. 확률변수와 확률분포의 개념이 제대로 잡히지 않은 학생
2. 이항분포의 개념이 무엇인지 제대로 모르는 학생
3. 이항분포의 평균과 분산의 의미와 그 유도 과정이 궁금한 학생
입니다.
제 글이 많은 학생들에게 도움이 됐으면 하는 바람입니다.
이항분포의 개념을 설명함에 앞서 확률변수와 확률분포의 개념에 대해 간단히 짚겠습니다.
i) 확률변수와 확률분포
확률변수란, 변수는 변수이되 그 값에 확률의 개념이 수반된 변수입니다. 이를테면 주사위를 던졌을 때 나오는 눈(1, 2, 3, 4, 5, 6)이나 동전 두 개를 던졌을 때 앞의 눈이 나오는 개수(0개, 1개, 2개)등이 확률변수가 될 수 있습니다. 각각의 확률변수의 값에 부여되는 확률은 서로 동일할 수도 있고(전자의 경우 1/6으로 모두 동일), 다를 수도 있습니다(후자의 경우 1/4, 2/4, 1/4로 서로 다름). 어찌됐건 확률변수가 정해지면 그에 대응하는 확률이 정해집니다. 이러한 대응관계, 즉, 하나의 변수에 대해 각각 확률이 하나씩 대응되는 함수 관계를 확률분포라고 명명합니다. 쉽게말해서, 확률분포는 확률변수에 해당하는 함수값, 즉 확률을 대응시킬 수 있는 함수관계입니다.

위 그림에서 오른쪽은 앞의 예에서 확률변수가 주사위의 눈이 될 때의 확률분포를, 왼쪽은 확률변수가 두 동전을 던졌을 때 나오는 앞면의 개수일 때의 확률분포입니다. 이를 일반화시켜서 표로 만들면 아래와 같은 이산확률분포를 얻을 수 있습니다.

위 표에서 집합 X(함수에서 정의역에 해당)의 원소 xi는 그에 대응하는 확률(함수값에 해당)인 pi가 정해져있는 확률변수입니다. 여기서 P(X=xi)의 의미는 확률변수가 xi라는 값을 가질 '확률'이라는 의미입니다. 이 표를 이해하고 작성할 줄 알면 확률분포, 특히 이산확률분포를 제대로 이해했다고 할 수 있습니다.
(이산확률분포의 이산(離散)은 변수의 값이 각각 떨어져있다는 뜻으로, 이산가족할 때 그 이산(離散)으로 이해하면 됩니다. 즉 위에서 소개한 것처럼 확률변수가 연속된 값이 아닌, 0, 1, 2처럼 각각 떨어진 특정 실수를 변수값으로 갖는 경우를 말합니다. 이산확률분포와 대비되는 개념으로 연속확률분포(정규분포, 표준정규분포 등)가 있습니다.)
ii) 확률분포의 평균과 분산
확률분포의 평균과 분산은 다음과 같이 정의됩니다.

확률변수의 경우, 일반 통계에서 사용하는 변량, 평균, 분산의 개념과 구분하기 위해 평균(mean, m)을 E(X), 분산(variance, σ²)을 V(X)로 표현합니다. 이는 각각 확률변수 X의 기댓값(Expected value)과 분산(Variance)을 뜻합니다.
iii) 이항분포의 개념
이항분포(Binary distribution)는 이산확률분포의 대표적인 예로, 확률변수가 독립시행에서 특정 사건이 일어날 '횟수'로 정의되는 확률분포입니다. 즉, 동일한 독립된 사건을 n회 반복 시행했을 때 특정 사건이 r회 일어나는 독립시행에 대해, 이 때의 r(횟수)을 확률변수로 보겠다는 것입니다. 독립시행에서의 확률이 다음과 같이 주어지므로,

확률 분포 표는 아래와 같이 작성할 수 있습니다. (이항분포를 이해하기 위해서는 독립시행의 개념 공부가 선행되어야 합니다.)

한편, 특정 사건이 1회 일어날 확률이 p인 시행을 n회 반복하여 만들 수 있는 이항분포를 B(n, p)로 표현하며, 이를 가리켜 '확률 변수 X가(혹은 r이) 이항분호 B(n, p)를 따른다'고 말합니다. 여기서 대문자 B는 이항분포(Binary distribution)의 약어입니다.
iv) 이항분포의 평균과 분산
이항분포 B(n, p)를 따르는 확률변수 X의 평균과 분산은 아래와 같이 주어집니다.

이에 대한 증명 이전에, 이항분포의 '평균(기댓값)'의 의미를 짚어보겠습니다.
예를 들어 하나의 주사위를 1200번 던져서 1의 눈이 나오는 횟수는 평균 몇 회 일까요? 직관상 200번 정도는 1의 눈이 나오리라고 예상할 수 있습니다. 즉, 한 번 던질 때 1의 눈이 나올 확률(p=1/6)에 총 시행 횟수(n=1200)을 곱하면 평균 횟수를 구할 수 있습니다.
이를 이항분포의 개념으로 이해해봅시다. 한 번의 시행해서 1/6 확률로 일어날 사건을 1200회 반복하는 독립시행에 대해, 사건이 일어날 '횟수'를 확률 변수로 하는 이항분포는 B(1200, 1/6)으로 주어집니다. 즉, 이 이항분포에서 n=1200, p=1/6이 됩니다. 이 확률변수의 기댓값, 즉, 1의 눈이 나올 횟수의 평균치는 위의 공식인 E(X)=1200 x 1/6 = 200 이 되는 것입니다.
이항분포가 무엇인 지, 어떤 특징을 가진 확률변수인 지를 제대로 파악하는 게 중요합니다.
이제 위 두 식의 엄밀한 증명에 대해 알아봅시다.
i) 평균, E(X)
위에서 이산확률변수의 평균은 아래와 같이 주어진다고 했습니다.

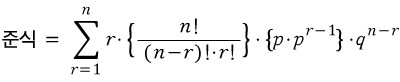
이항분포의 기댓값에서는 위 식에서 확률변수에 해당하는 xi에 독립시행의 '횟수'에 해당하는 r을, 확률 pi에 특정 사건이 n번 중 r번이 일어날 독립시행의 확률 nCr p^r q^(n-r)을 대입하면 됩니다.

확률변수 r의 범위가 0부터 n까지임에 주목하세요. 이는, n번중 한 번도 안 일어날 수 있는 확률(r=0)과 n번중 n번 모두 일어날 확률(r=n)을 모두 고려하겠다는 뜻입니다. 그런데 r이 0일 때에는 시그마 부호 속의 첫번째 항이 사라지므로, 위 식은 r=1부터 계산해도 됩니다.

이제 이 식을 아래와 같이 바꿔봅시다.

위의 첫번째 중괄호는 조합 nCr의 표현식이며, 두번째 중괄호는 p의 r승을 p의 1승과 r-1승으로 각각 쪼개어서 생각한 것입니다. 이제 위 식에서 첫번째 중괄호에 있는 n!을 다음과 같이 변형해서 정리합시다.

n의 팩토리얼을 n과 (n-1)!의 곱으로 표현했고, 시그마 속의 n과 p는 r에 관한 함수가 아니므로 밖으로 빠져나올 수 있었습니다. 이제 위 식에서 시그마의 계산결과가 1임을 증명한다면, 준식이 np가 되어 이항분포를 따르는 확률변수의 기댓값 E(X)가 np로 나옴을 증명할 수 있습니다. 시그마 속의 항을 다시 정리해 봅시다.

첫번째 등호에서는 그 전의 첫번째 중괄호 속의 분모의 r 팩토리얼과 그 앞의 r과 서로 계산, 약분하여 나온 결과입니다. 두번째 등호는 분수로 표현된 항이 사실은 (n-1)C(r-1)임을 이용한 것입니다. (n-1)C(r-1)을, nCr을 팩토리얼을 써서 나타낸 것처럼 똑같이 표현해보면 첫 번째 등호의 우변속의 분수 항처럼 나온다는 걸 알 수 있습니다.
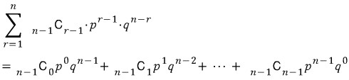
이제 시그마를 계산해봅시다. (직접 r에 1부터 n까지 대입해서 더해봅시다.)

전개 결과, 확률이 p인 사건을 n-1회 반복하는 독립시행의 모든 확률을 더한 게 나옵니다. 다시말해서 이 전개식은 이항분포 B(n-1, p)를 따르는 확률변수가 취할 수 있는 모든 확률을 더한 것, 즉 가능성 있는 모든 확률의 총합을 의미하며, 그 값은 1이 됩니다.
따라서 이항분포 B(n, p)를 따르는 확률변수의 기댓값 E(X)는 np로 구할 수 있습니다.

위 문단이 이해가 되지 않는다면 B(n-1, p)를 표현한 다음 확률분포표를 참고하세요. B(n-1, p)는 n회 반복이 아닌 n-1회 반복하는 독립시행입니다.

이들 확률의 총합은 1이 되는데, 바로 앞에서 얻어낸 식과 동일함을 알 수 있습니다.
더 근본적으로, 다음과 같이 주어지는 이항정리를 봅시다. (이항분포가 아니라 이항'정리'입니다. 관련 내용이 궁금한 학생은 아래 링크를 참고하세요.)

이 식에 a에 q를, b에는 p를, n 대신에 n-1을 대입해봅시다.

좌변의 q는 1-p이므로, 좌변은 1의 n-1승, 즉 1이 되며, 우변은 앞서 언급했던 공식 유도과정속의 시그마와 동일한 연산입니다.

따라서 이항분포 B(n, p)를 따르는 확률변수의 평균, 즉 기댓값은 E(X)=np가 됩니다.

ii) 분산, V(X)
일반적인 이산확률분포의 분산은 다음과같이 주어진다고 소개했습니다.

이제 이 식의 xi 대신에 이항분포를 따르는 확률변수 r을, pi 대신에 독립시행의 확률 nCr p^r q^{n-r} 을 대입하고, m에는 위에서 구한 기댓값인 np를 대입해봅시다.

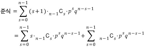
'횟수'에 해당하는 확률변수 r이 최소 0부터 최대 n까지 고려됐습니다. 마찬가지로, 시그마 속의 항을 적절히 정리해봅시다.

첫번째 등호에서는 nCr을 팩토리얼로 풀어서 전개해줌과 동시에 r의 범위를 0이 아닌 1부터로 변경해줬고, 두번째 등호에서는 n!과 r!, 그리고 p의 r승을 바꿔줬습니다. 이 때 r의 범위를 1부터 써도 상관없는 이유는, 평균을 구할때와 마찬가지로 시그마 속의 항의 첫번째 항이 0이 되기 때문입니다. 세번째 등호에서는 역시 위의 경우와 비슷하게, n과 p만 시그마 바깥으로 빼줬습니다. 그게 가능한 이유는 n과 p는 r에 관한 함수가 아니기 때문입니다. 마지막 네번째 등호에서는 분수꼴로 되어 있는 항을 {n-1}C{r-1}의 정의를 써서 다시 조합으로 환원시켰습니다. 이러한 일련의 과정에서 평균을 유도할 때와 비슷한 방법을 썼음을 눈치채시기 바랍니다.
이제 시그마 속의 항에 주목해봅시다. 변수 r을 s+1로 치환하여, r이 1부터 n까지 더해지는 것을 s가 0부터 n-1까지 더해지는 것으로 변형합니다.

위의 두 식 모두 같은 '합'을 표현하는 식입니다. (좌변에서 r=1부터 n까지 넣어서 더해보고, 우변에서 s=0부터 n-1까지 더해보면 같은 결과를 낸다는 걸 알 수 있습니다.) 이제 s에 관해 표현된 위 식을 계산해봅시다.

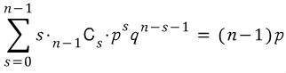
위 식의 맨 마지막 등호에서 첫번째 시그마는 이항분포 B(n-1, p)를 따르는 확률변수의 평균이고, 두번째 시그마는 B(n-1, p)를 따르는 확률변수에서 각 확률의 총합입니다. (특히 후자의 경우 위에서 평균을 유도할 때 나왔던 식입니다.) 즉, 첫번째 시그마의 결과는 B(n-1, p)의 평균인 (n-1)p가 되고, 두번째 결과는 확률의 합인 1이 됩니다.

위 설명이 이해가 가지 않으면 다음 이항분포 B(n-1, p)를 나타내는 표를 참고하세요.

위 확률분포의 평균은, 확률변수 s와 그에 해당하는 확률 P(X=s)를 각각 곱해서 모두 더해서 얻을 수 있는데, 그것은 바로 앞 수식에서 봤던 첫번째 시그마로 표현됩니다. 즉, 그 시그마의 결과는 이 이항분포 B(n-1, p)의 평균(=(n-1)p)이 되는 것입니다.

또한 위 확률분포의 모든 확률의 합(=1)은 표의 두번째 열의 합으로 표현되는데, 그것은 다름아닌 바로 앞 수식에서 봤던 두번째 시그마입니다.

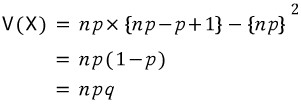
이 결과를 원래의 분산을 구하던 식에 대입하면,

이항분포 B(n, p)를 따르는 확률변수의 분산은 npq로 주어짐을 증명했습니다.
증명 속에서 독립시행과 확률분포의 성질이 어떻게 이용되었는 지 찬찬히 살펴본다면 좋은 공부가 될 것입니다.
이번 포스팅에서는
1. 확률변수와 확률분포의 의미
2. 이산확률분포의 평균과 분산의 의미
3. 이항분포의 평균과 분산 공식 제시
4. 이항분포의 평균과 분산 공식 유도
에 대해 살펴보았습니다.
이산확률분포의 대표적인 예인 이항분포는, 자연계에서 일반적으로 발생하는 분포를 잘 설명해주는 매우 중요한 내용입니다. 이항분포의 평균과 분산 공식 자체는 쉽지만, 그 속에 녹아있는 독립시행의 개념과 확률분포의 성질의 중요성은 아무리 강조해도 지나치지 않습니다. 특히 이항분포를 따르는 확률변수 자체보다는, 변수를 변형해서 출제하는 현 추세에 미루어 봤을 때, 소개한 공식 유도를 직접 해 보고 의미를 파악하는 게 중요하다고 봅니다. 유도 과정이 쉽지만은 않지만 개념을 익히는 과정에선 좋은 공부가 될 것입니다. 소개한 수식 전개를 이해하기 위해선 독립시행과 확률분포의 개념 이해가 선행되어야 합니다.
제 글이 많은 학생들에게 도움이 됐으면 좋겠습니다.
| [총정리] 기하학적 의미를 갖는 함수 관련 수식들 (0) | 2021.03.06 |
|---|---|
| 표본평균의 평균과 분산, 통계적 추정 - 개념, 성질, 적용 (0) | 2021.03.06 |
| (총정리) 이항정리 관련 공식 유도- 개념, 응용, 공식, 증명 (3) | 2021.03.06 |
| 각뿔의 부피가 각기둥 부피의 1/3인 이유 (원뿔의 부피, 삼각뿔의 부피, 사각뿔의 부피) (0) | 2021.03.06 |
| 중복조합 - 공식 유도, 아이디어, 적용 (0) | 2021.03.06 |